16+ L Greek Letter
Greek Alphabet Letters And Symbol

What Is The Name Of The Greek Letter That Looks Like An Upside Down L Quora
File Greek Lc Sigma1 Png Wikimedia Commons
Calameo Touristica 181
Greek Letter Delta Lower Case High Res Vector Graphic Getty Images
The Royal Image
List Of Latex Greek Letters In Text
16 Thousand Christmas Lights Alphabet Royalty Free Images Stock Photos Pictures Shutterstock
Greek Letters The Most Common Uses Of All The Greek Letters
Greek Alphabet Letter Case Angle English Png Pngegg
What Is The Name Of The Greek Letter That Looks Like An Upside Down L Quora
Greek Alphabet
Homegrown Istitch 2 Color 4 Inch Tackle Greek Twill Letters No Sew
Greek Alphabet Letters And Greek Symbols
What Is The Name Of The Greek Letter That Looks Like An Upside Down L Quora
Greek Alphabet Wall Art Vinyl Decal Custom Flask Sorority Engraved Flasks
Greek Alphabet
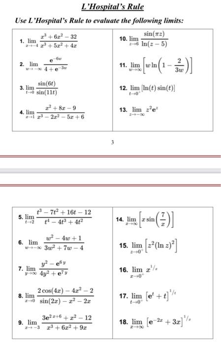
Solved L Hospital S Rule Use L Hospital S Rule To Evaluate Chegg Com